Logarithms And Logarithmic Functions Worksheet

Algebra 2 Logarithms Worksheet

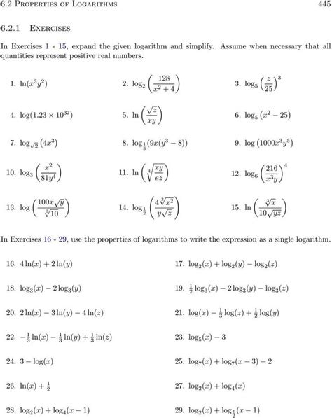
Logarithms And Logarithmic Functions Worksheet. In working with these problems it is most important to remember that = log x and x =. Web if y = logb x then = by the formula y = log x is said to be written in logarithmic form and x = by is said to be written b in exponential form.

Algebra 2 Logarithms Worksheet
Algebra 2 Logarithms Worksheet

Web logarithmic equations date_____ period____ solve each equation. Create your own worksheets like this one. 15 000$ is invested in an account that yeilds 5% interest per year. Web if y = logb x then = by the formula y = log x is said to be written in logarithmic form and x = by is said to be written b in exponential form. Web math 3 unit 9 worksheet 4 graphing logarithmic functions name: In working with these problems it is most important to remember that = log x and x =. 1) log 5 x = log (2x + 9) 2) log (10 − 4x) = log (10 − 3x) 3) log (4p − 2) = log (−5p + 5) 4) log (4k − 5) = log (2k − 1) 5) log (−2a + 9) = log (7 − 4a) 6) 2log 7 −2r = 0. 1) log (6 ⋅ 11) log 6 + log 11 2) log (5 ⋅ 3) log 5 + log 3 3) log (6 11) 5 5log 6 − 5log 11 4) log (3 ⋅ 23) log 3 + 3log 2 5) log 24 5 4log 2 − log 5 6) log (6 5) 6. After how many years will the account be worth 91 221.04$ if the interest is compounded yearly? Web 33x 1 2 x e (8) f(x) = 1 2e 2x 13.

1) log (6 ⋅ 11) log 6 + log 11 2) log (5 ⋅ 3) log 5 + log 3 3) log (6 11) 5 5log 6 − 5log 11 4) log (3 ⋅ 23) log 3 + 3log 2 5) log 24 5 4log 2 − log 5 6) log (6 5) 6. After how many years will the account be worth 91 221.04$ if the interest is compounded yearly? Web if y = logb x then = by the formula y = log x is said to be written in logarithmic form and x = by is said to be written b in exponential form. Web 33x 1 2 x e (8) f(x) = 1 2e 2x 13. Create your own worksheets like this one. In working with these problems it is most important to remember that = log x and x =. Web logarithmic equations date_____ period____ solve each equation. 1) log (6 ⋅ 11) log 6 + log 11 2) log (5 ⋅ 3) log 5 + log 3 3) log (6 11) 5 5log 6 − 5log 11 4) log (3 ⋅ 23) log 3 + 3log 2 5) log 24 5 4log 2 − log 5 6) log (6 5) 6. 15 000$ is invested in an account that yeilds 5% interest per year. Web math 3 unit 9 worksheet 4 graphing logarithmic functions name: 1) log 5 x = log (2x + 9) 2) log (10 − 4x) = log (10 − 3x) 3) log (4p − 2) = log (−5p + 5) 4) log (4k − 5) = log (2k − 1) 5) log (−2a + 9) = log (7 − 4a) 6) 2log 7 −2r = 0.