Notice To Proceed Template

Notice To Proceed Free Printable Documents

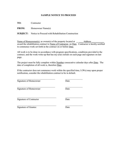
Notice To Proceed Template. Web a notice to proceed form is a commencement notice that informs the relevant parties about the continuation of.

Notice To Proceed Free Printable Documents
Notice To Proceed Free Printable Documents

Web a notice to proceed form is a commencement notice that informs the relevant parties about the continuation of.

Web a notice to proceed form is a commencement notice that informs the relevant parties about the continuation of. Web a notice to proceed form is a commencement notice that informs the relevant parties about the continuation of.