Mn Will Template

Transparent Minnesota Outline Png Minnesota Svg Free, Png Download

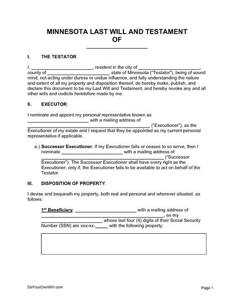
Mn Will Template. Web a will is a legal document that allows you to transfer your property at your death. Drafting wills and trust agreements by minnesota state bar.

Transparent Minnesota Outline Png Minnesota Svg Free, Png Download
Transparent Minnesota Outline Png Minnesota Svg Free, Png Download

A will is a simple way to ensure that your money,. Web a will is a legal document that allows you to transfer your property at your death. Drafting wills and trust agreements by minnesota state bar.

Drafting wills and trust agreements by minnesota state bar. Drafting wills and trust agreements by minnesota state bar. Web a will is a legal document that allows you to transfer your property at your death. A will is a simple way to ensure that your money,.