Disciplinary Policy Template

Free Employee Conduct and Discipline Policy Templates

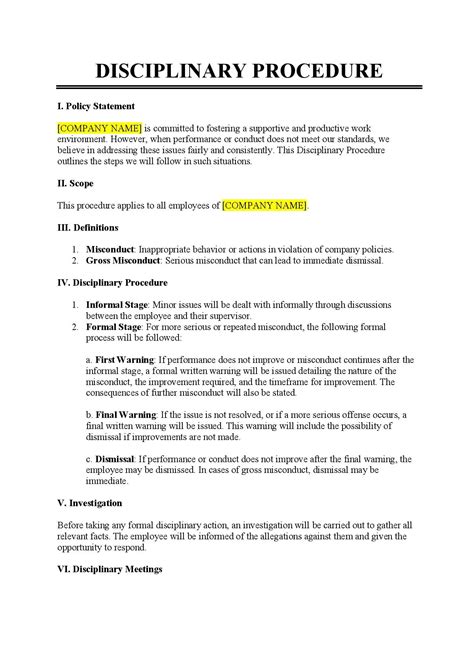
Disciplinary Policy Template. This employee disciplinary policy (the policy) is designed to explain how we handle. Web policy description and purpose:

Free Employee Conduct and Discipline Policy Templates
Free Employee Conduct and Discipline Policy Templates

This employee disciplinary policy (the policy) is designed to explain how we handle. Web policy description and purpose:

Web policy description and purpose: Web policy description and purpose: This employee disciplinary policy (the policy) is designed to explain how we handle.