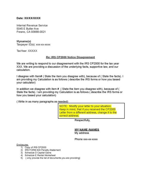
Cp2000 Response Letter Template

Sample Letter To Irs Cp2000 TRELET

Cp2000 Response Letter Template. Response to cp2000 notice dated month, xx, year.

Sample Letter To Irs Cp2000 TRELET
Sample Letter To Irs Cp2000 TRELET

Response to cp2000 notice dated month, xx, year.

Response to cp2000 notice dated month, xx, year. Response to cp2000 notice dated month, xx, year.