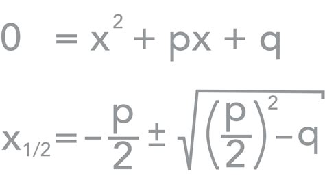
P And Q In Math

[Math][Algebra]P over Q A not equal to 1Intermediate Example Video

P And Q In Math. For example, is a rational number, as is. This leaves eight possible choices for rational.

[Math][Algebra]P over Q A not equal to 1Intermediate Example Video
[Math][Algebra]P over Q A not equal to 1Intermediate Example Video

The choices for p are , the choices for q are. Rational zero test or rational root test provide us with. The logical connector in a conditional statement is denoted by the symbol. For example, is a rational number, as is. The trig functions are measured in radians] by choosing p and q. Web let's find all rational zeros: Web age 16 to 18 challenge level problem getting started student solutions teachers' resources here are 16 propositions involving a real number x: The conditional is defined to be. This leaves eight possible choices for rational.

For example, is a rational number, as is. Rational zero test or rational root test provide us with. Web age 16 to 18 challenge level problem getting started student solutions teachers' resources here are 16 propositions involving a real number x: This leaves eight possible choices for rational. For example, is a rational number, as is. Web let's find all rational zeros: The conditional is defined to be. The logical connector in a conditional statement is denoted by the symbol. The choices for p are , the choices for q are. The trig functions are measured in radians] by choosing p and q.