What Is A Factor Form

Factoring Quadratic ax²+bx+c with ac

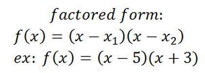
What Is A Factor Form. Web a quadratic equation in standard form ( a, b, and c can have any value, except that a can't be 0.) factoring (or factorising in the uk) a quadratic is: Let's get a little deeper into the.

Factoring Quadratic ax²+bx+c with ac
Factoring Quadratic ax²+bx+c with ac

What you should be familiar. Web however, it is always possible to factor a quadratic, if you allow irrational or complex factors. Web the process of expressing a given number or algebraic expression as the product of its factors is called factoring. Web a quadratic equation in standard form ( a, b, and c can have any value, except that a can't be 0.) factoring (or factorising in the uk) a quadratic is: Finding what to multiply to get the quadratic it is called factoring. Let's get a little deeper into the. Here's how to factor any quadratic expression in the form:

Finding what to multiply to get the quadratic it is called factoring. Let's get a little deeper into the. Web a quadratic equation in standard form ( a, b, and c can have any value, except that a can't be 0.) factoring (or factorising in the uk) a quadratic is: Web the process of expressing a given number or algebraic expression as the product of its factors is called factoring. Finding what to multiply to get the quadratic it is called factoring. Here's how to factor any quadratic expression in the form: What you should be familiar. Web however, it is always possible to factor a quadratic, if you allow irrational or complex factors.