How To Write Numbers In Expanded Form Using Exponents

Student Tutorial Reading and Writing Whole Numbers in Expanded Form

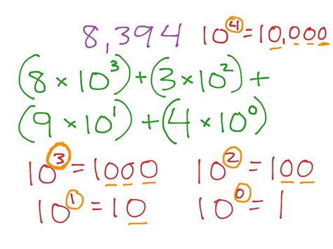
How To Write Numbers In Expanded Form Using Exponents. Web rewriting a number in its expanded form with exponents helps you to better understand scientific notation. Web writing a number in expanded form.

Student Tutorial Reading and Writing Whole Numbers in Expanded Form
Student Tutorial Reading and Writing Whole Numbers in Expanded Form

The method of writing a number in expanded form is very easy. Web writing a number in expanded form. Web rewriting a number in its expanded form with exponents helps you to better understand scientific notation.

The method of writing a number in expanded form is very easy. Web writing a number in expanded form. The method of writing a number in expanded form is very easy. Web rewriting a number in its expanded form with exponents helps you to better understand scientific notation.