Adding Complex Numbers In Polar Form

Multiplication and Division of Complex Numbers in Polar Form YouTube

Adding Complex Numbers In Polar Form. Web adding complex numbers in polar form. Web to add/subtract complex numbers in polar form, follow these steps:

Multiplication and Division of Complex Numbers in Polar Form YouTube
Multiplication and Division of Complex Numbers in Polar Form YouTube

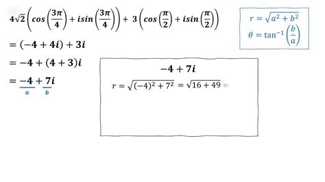
Web adding complex numbers in polar form. Given a complex number in rectangular form expressed as z = x + y i, we use the same. Suppose we have two complex numbers, one in a rectangular form and one in polar form. Web to add/subtract complex numbers in polar form, follow these steps: This video covers how to find the distance (r) and direction (theta) of the complex number on the complex plane, and how to use. Convert all of the complex numbers from polar form to rectangular form (see the rectangular/polar form conversion. Now, we need to add these two numbers and represent in the polar form again. Web the polar form of a complex number expresses a number in terms of an angle θ and its distance from the origin r. The horizontal axis is called the “real axis” while the vertical axis is called the “imaginary. Web learn how to convert a complex number from rectangular form to polar form.

Web adding complex numbers in polar form. Now, we need to add these two numbers and represent in the polar form again. Web adding complex numbers in polar form. Web the polar form of a complex number expresses a number in terms of an angle θ and its distance from the origin r. Convert all of the complex numbers from polar form to rectangular form (see the rectangular/polar form conversion. The horizontal axis is called the “real axis” while the vertical axis is called the “imaginary. This video covers how to find the distance (r) and direction (theta) of the complex number on the complex plane, and how to use. Given a complex number in rectangular form expressed as z = x + y i, we use the same. Web to add/subtract complex numbers in polar form, follow these steps: Web learn how to convert a complex number from rectangular form to polar form. Suppose we have two complex numbers, one in a rectangular form and one in polar form.